Nous allons présenter le changement de variable pour l'intégrale définie. Ensuite, nous nous inspirerons de l'idée pour développer une méthode d'intégration pour l'intégrale indéfinie.
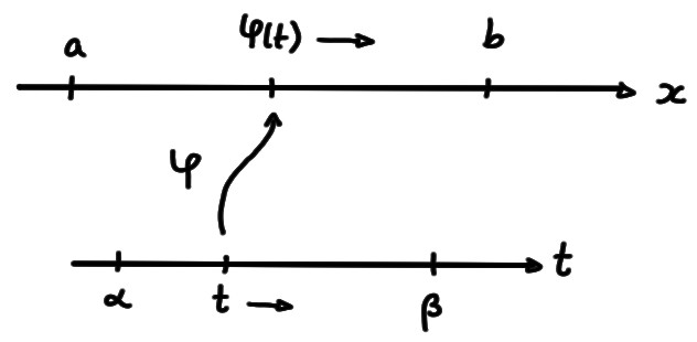
Théorème: Soit \(f:[a,b]\to \mathbb{R}\) continue. Soit aussi \(I\) un intervalle ouvert, \(\varphi:I\to \mathbb{R}\) une fonction de classe \(C^1\). Si \([\alpha,\beta]\subset I\) et si \[ \varphi(t)\in [a,b] \qquad \forall t\in [\alpha,\beta]\,, \] alors \[ \int_\alpha^\beta f(\varphi(t))\varphi'(t)\,dt= \int_{\varphi(\alpha)}^{\varphi(\beta)}f(x)\,dx \]
Comme \(f\) est continue, on peut considérer une de ses primitives; notons la \(F\). Définissons \(G:[\alpha,\beta]\to \mathbb{R}\) par \[G(t):= F(\varphi(t))\,.\] Alors \(G\) est continue sur \([\alpha,\beta]\), dérivable sur \(]\alpha,\beta[\), et \(G'(t)=f(\varphi(t))\varphi'(t)\). On a donc, en utilisant deux fois le Théorème Fondamental, \[\begin{aligned} \int_\alpha^\beta f(\varphi(t))\varphi'(t)\,dt &=\int_\alpha^\beta G'(t)\,dt\\ &=G(\beta)-G(\alpha)\\ &=F(\varphi(\beta))-F(\varphi(\alpha))\\ &=\int_{\varphi(\alpha)}^{\varphi(\beta)}f(x)\,dx\,. \end{aligned}\] Remarquons que ce calcul utilise l'existence de la primitive \(F\), mais uniquement comme une étape de calcul.
Ce résultat sera utilisé le plus souvent dans le cas où \[ \varphi(\alpha)=a\lt \varphi(\beta)=b\,, \] et dans ce cas la formule du changement de variable devient \[ \int_{a}^{b}f(x)\,dx = \int_\alpha^\beta f(\varphi(t))\varphi'(t)\,dt\,. \]
Exemple:
Calculons
\[ I=\int_0^1\sqrt{1-x^2}\,dx \]
Géométriquement, cette intégrale représente l'aire d'un quart de disque de rayon
\(1\) centré à l'origine. Donc on sait qu'elle doit valoir \(\frac{\pi}{4}\);
voyons comment l'obtenir par le calcul.
Idéalement,
on aimerait un changement de variable qui fasse disparaître la racine.


Attention: La vidéo ci-dessous s'écarte sensiblement du texte.
Décrivons une méthode d'intégration, inspirée de la formule du changement de
variable vue plus haut.
Mentionnons avant de commencer que cette méthode permet de calculer efficacement
de nombreuses primitives, même si la présentation qui suit n'est pas tout à fait
rigoureuse.
Soit \(f\) une fonction continue, dont on cherche une primitive \(F\).
Introduisons une autre variable \(t\) en posant
\[
x=\varphi(t)\,,
\]
où \(\varphi\) est une fonction de classe \(C^1\).
La primitive cherchée peut donc s'exprimer en fonction de la nouvelle variable:
\[ F(x)=F(\varphi(t))=:G(t)
\]
Or \(G(t)\)
est primitive de \(f(\varphi(t))\varphi'(t)\), puisque
\[ G'(t)=F'(\varphi(t))\varphi'(t)=f(\varphi(t))\varphi'(t)\,.
\]
Pour connaître \(F(x)\), on pourrait donc
On écrit la relation \(F(x)=G(t)\), parfois, par abus de notation, \[ \int f(x)\,dx=\int f(\varphi(t))\varphi'(t)\,dt\,. \]
Exemple: Considérons l'intégrale indéfinie \[\int \sin(2x)\,dx\,.\] On aimerait que \(2x=t\) donc on pose \(x:= \varphi(t)=\frac{t}{2}\). On commence par calculer \[ G(t)=\int f(\varphi(t))\varphi'(t)\,dt=\frac12\int \sin(t)\,dt=-\frac12 \cos(t)+C \] puis on inverse: \[ F(x)=G(\varphi^{-1}(x))=G(2x)=-\frac12 \cos(2x)+C\,. \]
Exemple: Considérons l'intégrale indéfinie \[\int \frac{x}{x+1}\,dx\,.\] Posons \(x+1=t\), c'est-à-dire \(x=\varphi(t):= t-1\). On commence donc par calculer \[\begin{aligned} G(t)=\int f(\varphi(t))\varphi'(t)\,dt &=\int\frac{t-1}{t}\,dt\\ &=\int \{1-\tfrac1t\}\,dt\\ &=t-\log|t|+C\,, \end{aligned}\] puis on inverse pour obtenir \[ F(x)=G(\varphi^{-1}(x))=(x+1)-\log|x+1|+C\,. \] Si on écrit les choses de façon plus compacte: \[\begin{aligned} \int\frac{x}{x+1}\,dx= \int\frac{t-1}{t}\,dt&= \int \Bigl(1-\frac1t\Bigr)\,dt\\ &=t-\log|t|+C\\ &=(x+1)-\log|x+1|+C \end{aligned}\]
Sur la fin de ce dernier exemple, on voit que l'on peut aisément se passer de la mention explicite des fonctions \(\varphi, G\) et \(F\); ce qu'on fera dans le prochain exemple.
Exemple: Considérons la primitive (en supposant bien sûr que \(x\gt 0\)) \[ \int \frac{dx}{x+x\log(x)^2}\,. \] On se souvient que \((\log(x))'=\frac1x\), on peut donc poser \(t=\log(x)\), qui donne \[\begin{aligned} \int \frac{dx}{x+x\log(x)^2} &= \int \frac{1}{1+\log(x)^2} \frac{dx}{x}\\ &=\int\frac{1}{1+t^2}dt\\ &=\arctan(t)+C\\ &=\arctan(\log(x))+C\,. \end{aligned}\]
Dans cette section, on considère des changements de variable dont le but est d'intégrer des fonctions contenant des termes d'un des trois types suivants: \[ \sqrt{a^2-b^2x^2}\,,\quad \sqrt{a^2+b^2x^2}\,,\quad \sqrt{a^2x^2-b^2}\,. \]
Exemple: Considérons l'intégrale indéfinie \[\int \sqrt{1-x^2}\,dx\,.\] Remarquons qu'ici, la fonction intégrée est définie pour \(x\in [-1,1]\). Comme dans le cas du changement de variable pour l'intégrale définie, on aimerait ne plus avoir de racine, et donc pouvoir écrire ''\(1-x^2\)'' comme un carré. Une identité qui réalise ce qu'on veut est la suivante: \[ \boxed{1-(\cos (t))^2=(\sin(t))^2\,.} \] On peut donc essayer de poser \[x=\varphi(t):= \cos (t)\,,\qquad \text{avec }t\in [0,\pi]\,.\] Alors \(\varphi:[0,\pi]\to [-1,1]\) est continûment dérivable sur \(]0,\pi[\), inversible, avec \(\varphi^{-1}: [-1,1]\to [0,\pi]\) donnée par \(\varphi^{-1}(x)=\arccos(x)\). On a donc \[\begin{aligned} G(t)&=\int \sqrt{1-\varphi(t)^2}\varphi'(t)\,dt\\ &=-\int\sin^2(t)\,dt\\ &=-\frac{t}{2}+\frac{1}{4}\sin(2t)+C\,, \end{aligned}\] et en utilisant \(\sin(2\alpha)=2\sin(\alpha)\cos(\alpha)\), \[\begin{aligned} F(x)&=G(\varphi^{-1}(x))\\ &=-\frac12 \arccos(x)+\frac14 \sin(2\arccos(x))+C\\ &=-\frac12 \arccos(x)+\frac14 2\sin(\arccos(x))\underbrace{\cos(\arccos(x))}_{=x}+C\\ &=-\frac12 \arccos(x)+\frac12 x\sqrt{1-x^2}+C\,. \end{aligned}\] Dans la dernière ligne, on a utilisé le fait que \(\sin(z)\geqslant 0\) si \(z\in [0,\pi]\), et donc \[\begin{aligned} \sin(\arccos(x))&=\sqrt{\sin(\arccos(x))^2}\\ &=\sqrt{1-\cos(\arccos(x))^2}\\ &=\sqrt{1-x^2}\,. \end{aligned}\] Si on avait posé \(x=\sin(t)\)? Les calculs changent un tout petit peu, mais le cheminement est exactement le même. Détails ici.
Ce qu'il faut garder du dernier exemple:
Exemple: Considérons l'intégrale indéfinie \[ \int x^3 \sqrt{1-x^2}\,dx\,.\] Encore une fois, \(x\in [-1,1]\). Si on pose \[ x=\varphi(t):= \cos (t)\,,\qquad \text{avec }t\in [0,\pi], \] on obtient \[\begin{aligned} G(t)&=\int \varphi(t)^3\sqrt{1-\varphi(t)^2}\varphi'(t)\,dt\\ &=-\int \cos^3(t) \sin^2(t)\,dt\\ &=-\int \sin^2(t)(1-\sin^2(t))\cos(t)\,dt\,. \end{aligned}\] La présence du \(\cos(t)\), qui est la dérivée du \(\sin(t)\), suggère de faire un deuxième changement de variable, en posant \[\sin(t)=u\,,\] qui réduit le problème à l'intégration d'un polynôme en \(u\): \[\begin{aligned} \int \sin^2(t)(1-\sin^2(t))\cos(t)\,dt &=\int u^2(1-u^2)\,du\\ &=\frac{u^3}{3}-\frac{u^5}{5}+C\\ &=\frac{(\sin(t))^3}{3}-\frac{(\sin(t))^5}{5}+C\,. \end{aligned}\] Comme \(\sin(t)=\sin(\arccos(x))=\sqrt{1-x^2}\), \[ F(x)=G(\arccos(x))= -\frac{\sqrt{1-x^2}^3}{3}+\frac{\sqrt{1-x^2}^5}{5}+C\,. \]
Remarque:
Dans ce dernier exemple, on voit comme l'allure de la fonction intégrée suggère
d'elle-même un bon changement de variable.
Bien-sûr, on aurait évité de faire deux changements de
variables si on avait tout de suite posé
\[ x=\cos(\arcsin(u))=\sqrt{1-u^2}\,.
\]
Mais ce choix ne semble pas forcément le plus naturel à première vue...
Exemple: Considérons l'intégrale indéfinie \[ \int\sqrt{1+x^2}\,dx\,. \] Ici, on peut s'inspirer de la relation \[ \boxed{1+(\sinh (t))^2=(\cosh(t))^2\,,} \] poser \[ x:= \sinh(t)\,, \] et obtenir \[ \boxed{ \int\sqrt{1+x^2}\,dx= \frac{1}{2} \mathrm{argsinh }(x) +\frac{1}{2} x\sqrt{1+x^2}+C } \] Voir la vidéo ci-dessus pour les détails. (Il existe d'autres façons de traiter cette primitive: Michael Penn ou blackpenredpen).
Exemple: Considérons l'intégrale indéfinie \[ \int\sqrt{x^2-1}\,dx\,\qquad |x|\geqslant 1\,. \] Si on utilise à nouveau la relation \[ \boxed{(\cosh(t))^2-1=(\sinh(t))^2\,,} \] on est mené à poser \[ x:= \cosh(t)\,. \] On trouve: \[ \boxed{ \int\sqrt{x^2-1}\,dx= \begin{cases} \frac{1}{2} x\sqrt{x^2-1} -\frac{1}{2} \mathrm{argcosh }(x)+C&\text{ si }x\geqslant +1\,,\\ \frac{1}{2} x\sqrt{x^2-1} +\frac{1}{2} \mathrm{argcosh }(x)+C&\text{ si }x\leqslant -1\,. \end{cases} } \] (Voir vidéo)